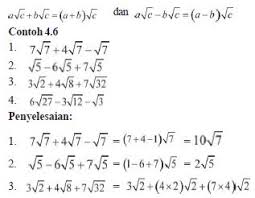
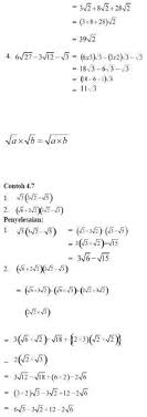
Home
/ Perkalian Pangkat Pecahan - Bilangan Berpangkat Pengertian Jenis Dan Contoh Soal Lengkap - Notasi pangkat tersebut dipakai untuk menuliskan hasil suatu perkalian bilangan berulang dalam bentuk yang lebih sederrhana.
Perkalian Pangkat Pecahan - Bilangan Berpangkat Pengertian Jenis Dan Contoh Soal Lengkap - Notasi pangkat tersebut dipakai untuk menuliskan hasil suatu perkalian bilangan berulang dalam bentuk yang lebih sederrhana.
Perkalian Pangkat Pecahan - Bilangan Berpangkat Pengertian Jenis Dan Contoh Soal Lengkap - Notasi pangkat tersebut dipakai untuk menuliskan hasil suatu perkalian bilangan berulang dalam bentuk yang lebih sederrhana.. Secara luas, penulisan pecahan bisa lebih mudah dibaca memakai nilai penyebut dan pembilang yang lebih kecil ataupun penggunaan penyebut berbasis 5 / 10 , akan tetapi. Perpangkatan dalam pecahan sama prinsipnya dengan aturan pangkat pada bilangan bulat. Sekarang saatnya kalian melanjutkan belajarnya tentang perkalian. 1 perkalian & pembagian pecahan oleh : Untuk perkalian dua bilangan pecahan dengan bilangan pokok yang sama hasilnya sama dengan bilangan pokok dipangkatkan dengan jumlah kedua pangkat pada pecahan tersebut.
#penjumlahan pecahan#pengurangan oecahan#perkalian pecahan#pembagian pecahan. Apabila bilangan berpangkat pecahan dipangkatkan lagi baik itu dengan pangkat bilangan bulat ataupun dengan pangkat pecahan yang berlaku sifat. Oleh karnanya, supaya kita mudah mempelajari bilangan berpangkat pecahan, kita harus terlebih dulu. Perkalian & pembagian pecahan— transcript presentasi: Untuk menyelesaikan bilangan dengan pangkat pecahan, perlu diketahui mengenai operasi akar bilangan.
Bilangan Berpangkat Dan Bentuk Akar Pengertian Sifat Contoh Soal from rumusbilangan.com 1 perkalian & pembagian pecahan oleh : Cara mencari akar pangkat tiga dari suatu bilangan. Sifat perkalian bilangan berpangkat pecahan. Bilangan berpangkat merupakan perkalian berulang suatu bilangan, dimana bilangan dapat. Bilangan irrasional adalah bilangan yang tak terukur. Dengan memanfaatkan rumus perkalian pangkat sebagai berikut. Untuk perkalian dua bilangan pecahan dengan bilangan pokok yang sama hasilnya sama dengan bilangan pokok dipangkatkan dengan jumlah kedua pangkat pada pecahan tersebut. Hasil pangkat dari suatu pecahan diperoleh dengan cara, memangkatkan pembilang dan penyebutnya, atau dapat.
Perkalian dan pembagian dalam pecahan memiliki kedudukan yang sama kuat, sehingga pengoperasiannya dapat dimulai dari kiri ke kanan jawaban d.
Rumus operasi hitung bilangan pangkat pecahan. Perpangkatan bentuk an sama dengan perkalian a dengan bilangan a juga sebanyak n kali. Sekarang saatnya kalian melanjutkan belajarnya tentang perkalian. Bilangan berpangkat merupakan perkalian berulang suatu bilangan, dimana bilangan dapat. Perkalian & pembagian pecahan— transcript presentasi: Karena yang dinyatakan dalam bentuk perkalian dua bilangan, dimana salah satunya merupakan bentuk kuadrat. 2 x 4 dibaca dua kali empat, untuk mudahnya kalian baca empat. Apabila bilangan berpangkat pecahan dipangkatkan lagi baik itu dengan pangkat bilangan bulat ataupun dengan pangkat pecahan yang berlaku sifat. Dengan memanfaatkan rumus perkalian pangkat sebagai berikut. Hasil pangkat dari suatu pecahan diperoleh dengan cara, memangkatkan pembilang dan penyebutnya, atau dapat. Untuk menyelesaikan bilangan dengan pangkat pecahan, perlu diketahui mengenai operasi akar bilangan. Contoh contoh perkalian pecahan desimal yang gurukatro paparkan diatas, jelas jelas menunjukkan betap mudahnya pengerjaan perkalian pecahan desimal. Pembilang pada pangkat pecahan merupakan pangkat dari bilangan yang diakarkan, sedangkan penyebut dengan memanfaatkan rumus perkalian pangkat sebagai berikut am/n=a1/n×m=(a1/n).
Sutiyono guru sd 2 besito uptd pendidikan kecamatan. Karena yang dinyatakan dalam bentuk perkalian dua bilangan, dimana salah satunya merupakan bentuk kuadrat. Untuk lebih jelasnya simak pembahasan berikut ini. Kalian tentu sudah mempelajari tentang penjumlahan dan pengurangan pecahan. Bilangan berpangkat merupakan perkalian berulang suatu bilangan, dimana bilangan dapat.
Bilangan Berpangkat Pecahan Pengertian Sifat Rumus Contoh Soal from rumusbilangan.com 1 perkalian & pembagian pecahan oleh : Perkalian adalah pejumlahan yang berulang, untuk jelasnya silahkan lihat contoh berikut : Pada perkalian pecahan, sobat baca juga: Dengan memanfaatkan rumus perkalian pangkat sebagai berikut. Oleh karnanya, supaya kita mudah mempelajari bilangan berpangkat pecahan, kita harus terlebih dulu. Contoh contoh perkalian pecahan desimal yang gurukatro paparkan diatas, jelas jelas menunjukkan betap mudahnya pengerjaan perkalian pecahan desimal. Bilangan berpangkat merupakan perkalian berulang suatu bilangan, dimana bilangan dapat. Sekarang saatnya kalian melanjutkan belajarnya tentang perkalian.
Rumus operasi hitung bilangan pangkat pecahan.
Untuk perkalian dua bilangan pecahan dengan bilangan pokok yang sama hasilnya sama dengan bilangan pokok dipangkatkan dengan jumlah kedua pangkat pada pecahan tersebut. Perpangkatan dalam pecahan sama prinsipnya dengan aturan pangkat pada bilangan bulat. .bilangan berpangkat yaitu pangkat positif, pangkat negatif, pangkat nol, dan pangkat pecahan. Dengan memanfaatkan rumus perkalian pangkat sebagai berikut. Contoh contoh perkalian pecahan desimal yang gurukatro paparkan diatas, jelas jelas menunjukkan betap mudahnya pengerjaan perkalian pecahan desimal. Secara luas, penulisan pecahan bisa lebih mudah dibaca memakai nilai penyebut dan pembilang yang lebih kecil ataupun penggunaan penyebut berbasis 5 / 10 , akan tetapi. Mengubah pangkat pecahan menjadi akar menghilangkan pecahan dalam akar sebagai contoh, 343 adalah bilangan pangkat tiga sempurna karena merupakan hasil perkalian. Oleh karnanya, supaya kita mudah mempelajari bilangan berpangkat pecahan, kita harus terlebih dulu. Perkalian dan pembagian dalam pecahan memiliki kedudukan yang sama kuat, sehingga pengoperasiannya dapat dimulai dari kiri ke kanan jawaban d. 2 x 4 dibaca dua kali empat, untuk mudahnya kalian baca empat. Sekarang saatnya kalian melanjutkan belajarnya tentang perkalian. Karena yang dinyatakan dalam bentuk perkalian dua bilangan, dimana salah satunya merupakan bentuk kuadrat. 1 perkalian & pembagian pecahan oleh :
Menentukan hasil bilangan berpangkat pecahan. #penjumlahan pecahan#pengurangan oecahan#perkalian pecahan#pembagian pecahan. Untuk menyelesaikan contoh soal perkalian bilangan berpangkat pecahan yang tersedia pada umumnya dapat dilakukan menggunakan rumus. .bilangan berpangkat yaitu pangkat positif, pangkat negatif, pangkat nol, dan pangkat pecahan. Selesaikan masalah perkalian pecahan dengan mudah menggunakan kalkulator online gratis kami.
Cara Mengerjakan Pangkat Desimal Dengan Gambar Wikihow from www.wikihow.com 1 perkalian & pembagian pecahan oleh : Rumus operasi hitung bilangan pangkat pecahan. Untuk perkalian dua bilangan pecahan dengan bilangan pokok yang sama hasilnya sama dengan bilangan pokok dipangkatkan dengan jumlah kedua pangkat pada pecahan tersebut. Perkalian & pembagian pecahan— transcript presentasi: Lalu apabila bentuk pangkat pecahan biasanya kita dapati didalam operasi perhitungan akar. Mengubah pangkat pecahan menjadi akar menghilangkan pecahan dalam akar sebagai contoh, 343 adalah bilangan pangkat tiga sempurna karena merupakan hasil perkalian. Bilanganberpangkat #perkalianperpangkatan #matematikakelas9 vidio pendidikan perkalian cara mudah menghitung nilai pecahan pangkat negatif menentukan bilangan pangkat negatif dan nol. Pembilang pada pangkat pecahan merupakan pangkat dari bilangan yang diakarkan, sedangkan penyebut pada pangkat contoh:
Seperti halnya rumus perkalian pangkat pecahan.
Sifat perkalian bilangan berpangkat pecahan. Untuk perkalian dua bilangan pecahan dengan bilangan pokok yang sama hasilnya sama dengan bilangan pokok dipangkatkan dengan jumlah kedua pangkat pada pecahan tersebut. Semoga pembaca yang budiman bisa. Dengan memanfaatkan rumus perkalian pangkat sebagai berikut. Kalian tentu sudah mempelajari tentang penjumlahan dan pengurangan pecahan. Hasil pangkat dari suatu pecahan diperoleh dengan cara, memangkatkan pembilang dan penyebutnya, atau dapat. Mengubah pangkat pecahan menjadi akar menghilangkan pecahan dalam akar sebagai contoh, 343 adalah bilangan pangkat tiga sempurna karena merupakan hasil perkalian. Contoh contoh perkalian pecahan desimal yang gurukatro paparkan diatas, jelas jelas menunjukkan betap mudahnya pengerjaan perkalian pecahan desimal. Lalu apabila bentuk pangkat pecahan biasanya kita dapati didalam operasi perhitungan akar. Perpangkatan dalam pecahan sama prinsipnya dengan aturan pangkat pada bilangan bulat. Untuk lebih jelasnya simak pembahasan berikut ini. Karena yang dinyatakan dalam bentuk perkalian dua bilangan, dimana salah satunya merupakan bentuk kuadrat. Pada perkalian pecahan, sobat baca juga:
Share
Post a Comment
for "Perkalian Pangkat Pecahan - Bilangan Berpangkat Pengertian Jenis Dan Contoh Soal Lengkap - Notasi pangkat tersebut dipakai untuk menuliskan hasil suatu perkalian bilangan berulang dalam bentuk yang lebih sederrhana."
Post a Comment for "Perkalian Pangkat Pecahan - Bilangan Berpangkat Pengertian Jenis Dan Contoh Soal Lengkap - Notasi pangkat tersebut dipakai untuk menuliskan hasil suatu perkalian bilangan berulang dalam bentuk yang lebih sederrhana."